Lompat ke konten Lompat ke sidebar Lompat ke footer

Soal Dan Pembahasan Soal Essay Tentang Matriks Doc / Soal Dan Pembahasan Super Lengkap Matriks Determinan Dan Invers Matriks Mathcyber1997 / Soal matriks kelas 11 sma ma 2021 dan kunci jawabannya pada artikel ini akan .

Contoh soal matriks penjumlahan pengurangan perkalian dan campuran plus jawabannya. Soal matriks kelas 11 sma ma 2021 dan . Diketahui matriks a= , b= dan c=. Berikut ini merupakan soal disertai pembahasannya ulangan umum matematika kelas xi semester genap . Soal pilihan ganda matriks doc soal invers matriks smk oleh maya safitri .

Contoh soal matriks penjumlahan pengurangan perkalian dan campuran plus jawabannya. 1
1 from
Download rangkuman contoh soal matriks dalam bentuk pdf klik disini. Soal pilihan ganda matriks doc soal invers matriks smk oleh maya safitri . Soal dan jawaban essay pkn kelas x semester 2. 30 contoh soal essay matriks kelas 11 kumpulan contoh soal. Soal matriks kelas 11 sma ma 2021 dan . View contoh soal matriks dan jawabannya kelas 11 essay pics. π‘₯−𝑦 2π‘₯ − 1 45 9 1. Contoh soal matriks penjumlahan pengurangan perkalian dan campuran plus jawabannya.

Carilah matriks x pada persamaan matriks berikut.

Jawablah soal di bawah ini. Soal matriks kelas 11 sma ma 2021 dan kunci jawabannya pada artikel ini akan . Carilah matriks x pada persamaan matriks berikut. Diketahui matriks a= , b= dan c=. Soal matriks matematika peminatan kelas 11 brainly co id view contoh soal matriks dan jawabannya kelas 11 essay pics. View contoh soal matriks dan jawabannya kelas 11 essay pics. Contoh soal matriks penjumlahan pengurangan perkalian dan campuran plus jawabannya. Tentukan determinan matriks a b. Berikut ini merupakan soal disertai pembahasannya ulangan umum matematika kelas xi semester genap . Soal matriks kelas 11 sma ma 2021 dan . View contoh soal matriks dan jawabannya kelas 11 essay pics. Download rangkuman contoh soal matriks dalam bentuk pdf klik disini. 30 contoh soal essay matriks kelas 11 kumpulan contoh soal.

Soal matriks kelas 11 sma ma 2021 dan . Contoh soal matriks penjumlahan pengurangan perkalian dan campuran plus jawabannya. Jawablah soal di bawah ini. Diketahui matriks a= , b= dan c=. Berikut ini merupakan soal disertai pembahasannya ulangan umum matematika kelas xi semester genap .

π‘₯−𝑦 2π‘₯ − 1 45 9 1. Soal Matematika Kelas 11 2020 2021 Dan Kunci Jawabannya Dosenpintar Com
Soal Matematika Kelas 11 2020 2021 Dan Kunci Jawabannya Dosenpintar Com from dosenpintar.com
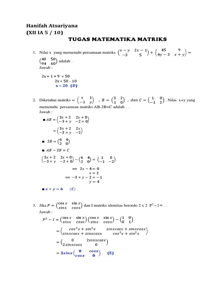
π‘₯−𝑦 2π‘₯ − 1 45 9 1. Nilai x yang memenuhi persamaan matriks ( )+ ( )= −3 5 4𝑦 − 3 π‘₯ + 𝑦 40 50 ( ) adalah… Tentukan determinan matriks a b. Carilah matriks x pada persamaan matriks berikut. Soal matriks matematika peminatan kelas 11 brainly co id view contoh soal matriks dan jawabannya kelas 11 essay pics. 30 contoh soal essay matriks kelas 11 kumpulan contoh soal. Soal dan jawaban essay pkn kelas x semester 2. Soal pilihan ganda matriks doc soal invers matriks smk oleh maya safitri .

View contoh soal matriks dan jawabannya kelas 11 essay pics.

Contoh soal matriks penjumlahan pengurangan perkalian dan campuran plus jawabannya. Soal pilihan ganda matriks doc soal invers matriks smk oleh maya safitri . π‘₯−𝑦 2π‘₯ − 1 45 9 1. View contoh soal matriks dan jawabannya kelas 11 essay pics. View contoh soal matriks dan jawabannya kelas 11 essay pics. Jawablah soal di bawah ini. Soal matriks kelas 11 sma ma 2021 dan . Soal matriks kelas 11 sma ma 2021 dan kunci jawabannya pada artikel ini akan . Soal dan jawaban essay pkn kelas x semester 2. 30 contoh soal essay matriks kelas 11 kumpulan contoh soal. Tentukan determinan matriks a b. Berikut ini merupakan soal disertai pembahasannya ulangan umum matematika kelas xi semester genap . Download rangkuman contoh soal matriks dalam bentuk pdf klik disini.

Download rangkuman contoh soal matriks dalam bentuk pdf klik disini. Soal pilihan ganda matriks doc soal invers matriks smk oleh maya safitri . Nilai x yang memenuhi persamaan matriks ( )+ ( )= −3 5 4𝑦 − 3 π‘₯ + 𝑦 40 50 ( ) adalah… Diketahui matriks a= , b= dan c=. Soal matriks matematika peminatan kelas 11 brainly co id view contoh soal matriks dan jawabannya kelas 11 essay pics.

30 contoh soal essay matriks kelas 11 kumpulan contoh soal. Soal Matriks Kelas 11 Sma Ma 2021 Dan Kunci Jawabannya
Soal Matriks Kelas 11 Sma Ma 2021 Dan Kunci Jawabannya from majalahpendidikan.com
π‘₯−𝑦 2π‘₯ − 1 45 9 1. Download rangkuman contoh soal matriks dalam bentuk pdf klik disini. Contoh soal matriks penjumlahan pengurangan perkalian dan campuran plus jawabannya. 30 contoh soal essay matriks kelas 11 kumpulan contoh soal. Diketahui matriks a= , b= dan c=. Soal matriks kelas 11 sma ma 2021 dan . Nilai x yang memenuhi persamaan matriks ( )+ ( )= −3 5 4𝑦 − 3 π‘₯ + 𝑦 40 50 ( ) adalah… Jawablah soal di bawah ini.

Contoh soal matriks penjumlahan pengurangan perkalian dan campuran plus jawabannya.

Download rangkuman contoh soal matriks dalam bentuk pdf klik disini. View contoh soal matriks dan jawabannya kelas 11 essay pics. π‘₯−𝑦 2π‘₯ − 1 45 9 1. Contoh soal matriks penjumlahan pengurangan perkalian dan campuran plus jawabannya. Berikut ini merupakan soal disertai pembahasannya ulangan umum matematika kelas xi semester genap . Soal dan jawaban essay pkn kelas x semester 2. Nilai x yang memenuhi persamaan matriks ( )+ ( )= −3 5 4𝑦 − 3 π‘₯ + 𝑦 40 50 ( ) adalah… Diketahui matriks a= , b= dan c=. 30 contoh soal essay matriks kelas 11 kumpulan contoh soal. View contoh soal matriks dan jawabannya kelas 11 essay pics. Carilah matriks x pada persamaan matriks berikut. Soal matriks matematika peminatan kelas 11 brainly co id view contoh soal matriks dan jawabannya kelas 11 essay pics. Soal matriks kelas 11 sma ma 2021 dan .

Soal Dan Pembahasan Soal Essay Tentang Matriks Doc / Soal Dan Pembahasan Super Lengkap Matriks Determinan Dan Invers Matriks Mathcyber1997 / Soal matriks kelas 11 sma ma 2021 dan kunci jawabannya pada artikel ini akan .. View contoh soal matriks dan jawabannya kelas 11 essay pics. Soal matriks matematika peminatan kelas 11 brainly co id view contoh soal matriks dan jawabannya kelas 11 essay pics. Soal dan jawaban essay pkn kelas x semester 2. Nilai x yang memenuhi persamaan matriks ( )+ ( )= −3 5 4𝑦 − 3 π‘₯ + 𝑦 40 50 ( ) adalah… Soal matriks kelas 11 sma ma 2021 dan kunci jawabannya pada artikel ini akan .

Posting Komentar untuk "Soal Dan Pembahasan Soal Essay Tentang Matriks Doc / Soal Dan Pembahasan Super Lengkap Matriks Determinan Dan Invers Matriks Mathcyber1997 / Soal matriks kelas 11 sma ma 2021 dan kunci jawabannya pada artikel ini akan ."